1 x 0001 g/cm3 = 0001 Grams Per Cubic Centimeter Always check the results;Cubic centimeter (centimetre) is a metric system volume unit 1 cm3 = m3 The symbol is " cm³ "Convertir des centimètres cubes en mètres cubes cm3 en m3 Choisissez les unités de volumes que vous souhaitez convertir Lien direct pour la conversion de %s (%s) en %s (%s)
Convert A 1 M2 Into Cm F 1 Cm3 Into Mm3 B 3 Km2 Chegg Com
1 l dm3 cm3 m3
1 l dm3 cm3 m3-1m 3 = cm 3 1 metr sześcienny to jest centymetrów sześciennychTap to unmute If playback doesn't begin shortly, try restarting your device You're signed out Videos you watch may be added to the TV's watch history



Online Calculator Cm3 To M3 Fast And Free Converter
> con mucho ♥ de CalculatePlusThe same is true for many types of unit conversion (there are some expections, such as temperature) To convert Centimeters Cubed (cm3) to Millimeters Cubed (mm3), you just need to know that 1cm 3 is equal to 1000 mm 3 With that knowledge, you can solve any other similar conversion problem by multiplying the number of Centimeters Cubed (cm3) byOmregn nemt Kubikmeter m3 til andre målinger med dette online værktøj
1 lít = 1 dm3 1 cm3 = 1 ml 1 cm3 = 0001 lít 1 cm3 = m3 (1 x 106 m3) Với chất lỏng người ta hay dùng đơn vị đo là lít hoặc ml, với thể tích chất rắn thường dùng cm3 hay m3 để đo Bảng chuyển đổi từ Cm3 ra Lít và Mét khối1 Cm3 To M3 of Aidyn Klayman Read about 1 Cm3 To M3 reference or see = 10e6 Cubic Meters and on 1 Cm3 To M3 Conversion Go to To convert cm3 1 to = direct Chapter 1 Introduction Anil kumar 259,586 views how diy to M3 converter,cm3 101 m 3 cm 3 1 m 3 cm 3 2 m 3 cm 3 3 m 3 cm 3 4 m 3 cm 3 5 m 3 cm 3 6 m 3 cm 3 7 m 3 cm 3 8 m 3 cm 3 9 m 3 cm 3 10 m 3
Definition Cubic centimeter A cubic centimetre (cm3) is equal to the volume of a cube with side length of 1 centimetre It was the base unit of volume of the CGS system of units, and is a legitimate SI unit It is equal to a millilitre (ml) 1 gram/cm3 berapa kg/m3 ?Begin 0 5 10 15 30 40 50 60 70 80 90 100 Step 1 05 02 01 5 10 Kilogram/m^3 ↔ Gram/cubic centimeter Conversion Table 1 kg/m3 = 0001 g/cm3 2 kg/m3 =



Http Www Umsl Edu Chickosj Chem11 Lecture1 Pdf



Ks3 Mathematics S7 Measures Ppt Download
Cubic centimeter Unit Conversions » Cubic centimeter ↔ m3 » Cubic centimeter ↔ km3 » Cubic centimeter ↔ dm3 » Cubic centimeter ↔ mm3 » Cubic centimeter ↔ um3 » Cubic centimeter ↔ nm3 » Cubic centimeter ↔ L » Cubic centimeter ↔ kLRounding errors may occur In relation to the base unit of density => (kilograms per cubic meter), 1 Kilograms Per Cubic Meter (kg/m3) is equal to 1 kilogramspercubicmeter, while 1 Grams Per Cubic Centimeter (g/cm3) = 1000 kilogramspercubicmeter93 cm3(s) * 10E6 = 93E5 m3(s) By division 93 cm3(s) / = 93E5 m3(s) Rounded conversion Note that the results given in the boxes on the form are rounded to the ten thousandth unit nearby, so 4 decimals, or 4 decimal places Volume unit



M3 To Cm3 Online Salculator Fast And Free Converter



1m3は何cm3 何dm3 1cm3は何m3 何dm3 立方メートルと立方センチメートルと立方デシメートルの変換 換算 方法 ウルトラフリーダム
Một mét khối bằng 35,3 feet khối hoặc 1,3 thước khối Vậy 1 lít bằng bao nhiêu m3 Câu trả lời là 1 mét khối bằng 1000 lít hoặc 1 triệu centimet khôi 1 dm3 = 1 lít nước 1 m3 = 1000 dm3 = cm3 = mm3 ==> 1 m3 = 1000 lít nướcFyzikální veličina objem má značku V Základní jednotkou objemu je krychlový metr (m³) Krychlový metr je objem krychle o hraně 1 metru Z dílčích a násobných jednotek objemu jsou užívány milimetr krychlový (mm³, 1mm³=0,000 000 001m³), centimetr krychlový (cm³, 1cm³=0,000 001m³), decimetr krychlový (dm³, 1dm³=0,001m³), platí 1m³=1000dm³=1 000 000mm³1 cm³ 000 m³ 2 cm³ 000 m³ 3 cm³ 000 m³ 4 cm³ 000 m³ 5 cm³ 000 m³ 6 cm³ 000 m³ 7 cm³ 000 m³ 8 cm³ 000 m³ 9 cm³ 000 m³ 10 cm³ 000 m³ 11 cm³ 000 m³ 12 cm³ 000 m³ 13 cm³ 000 m³ 14 cm³ 000 m³ 15 cm³ 000 m³ 16 cm³ 000 m³ 17 cm³ 000 m³ 18 cm³ 000 m³ 19 cm³ 000 m³



Volume



Proof 1000 Kg M3 1 G Cm3 Very Easy Explanation Youtube
Y equals 3875 times over 1 (ie) Y = 3875 * / 1 = grams per cubic centimeters Answer is grams per cubic centimeters are equivalent toObjętość skrzynek jest mierzona w metrach sześciennych Policz objętość swoich pudeł, a możesz zamówić odpowiedni transport bezSo 1 cubic centimeter = 1000 cubic milimeters In other words, the value in cm 3 multiply by 1000 to get a value in mm 3The calculator gives the answer to the questions 80 cm 3 is how many mm 3?



Chemistry The Study Of Change Ppt Download



What I Can Do Activity Use M3 Dm3 Cm3 And Mm3 To T Gauthmath
KONSEP DASAR DEFINISI MASSA JENIS Massa jenis adalah pengukuran massa (m) setiap satuan volume (V) benda Semakin tinggi massa jenis suatu benda, maka semakin besar pula massa setiap volumenya1 2 3 4 5 6 7 8 9 10 100 1000 0001O volume de caixas é medido em metros cúbicos Conte o volume de suas caixas e você poderá solicitar o transporte apropriado sem pagar a mais pela entrega



1 Im 100 Cm Cm 3 0 0022 M2 5 0 M3 Cm 6 Chegg Com



This Week Measures Convert Units Of Measure And Calculate The Area Perimeter And Volume Of Common Shapes Name Common Units Of Measure For Weight Length Ppt Download
Cubic meter 10E6 m 3 Conversion base 1 cm 3 = 10E6 m 3 Conversion base 1 m 3 = cm 31 mg/cm3 (milligram / cubic centimeter) 1000 mg/dm3 (milligram / cubic decimeter) mg/m3 (milligram / cubic meter) 1 mg/ml (milligram / milliliter) 1000 mg/l (milligram / liter) 0001 g/cm3 (gram / cubic centimeter) 1 g/dm3 (gram / cubic decimeter) 1000 g/m3 (gram / cubic meter) 0001 g/ml (gram / milliliter) 1 g/l (gram / liter)1 Cubic meter (m3) is equal to cubic centimeters (cm3) To convert cubic meters to cubic centimeters, multiply the cubic meter value by For example, to convert 10 m3 to cm3, multiply 10 by , that makes cm3 is 10 m3



B Use M3 Dm3 Cm3 And Mm3 To Tell Which Cubic Unit Gauthmath



Why Is A Density Of 1 G Cm The Same As A Density Of 1000 Kg M Quora
Centimeter Cube (abbreviations cm3, or cm cube) is the SI derived unit of volumeIt is the volume of a cube with edges one centimeter in length Meter Cube (abbreviations m3, or m cube) is the SI derived unit of volumeIt is the volume of a cube with edges one metre in lengthMột đơn vị thể tích theo hệ mét, thường được sử dụng để biểu thị nồng độ chất hóa học trong một thể tích không khí Một mét khối bằng 35,3 feet khối hoặc 1,3 thước khối Một mét khối cũng bằng 1000 lít hoặc một triệu centimet khốiConvertir volumen unidades, convertir centímetros cúbicos en metros cúbicos, convertir cm 3 en m 3 Convierte fácilmente un montón de otras unidades sobre la temperatura, área, volumen, masa y longitud Convertir a metro cúbicos en centímetro cúbicos



Convert A 1 M2 Into Cm F 1 Cm3 Into Mm3 B 3 Km2 Chegg Com



Cm3 To Dm3 Conversion Brainly
Na przykład objętość rury, pokoju lub naczynia Stworzyliśmy ten kalkulator online, aby ułatwić Ci życie Możesz przekonwertować m3 na cm3 jednym kliknięciem To jest całkowicie darmowe!1m3は何cm3?何dm3?1cm3は何m3?何dm3?立方メートルと Download How To Convert G Cm3 To Kg M3 Images EDEXCEL IGCSE / CERTIFICATE IN PHYSICS 51 Density and identifikacija Iki Smurtautojas m3 to cm3 conversion identifikacija Iki Smurtautojas m3 to cm3Bu aracın kullanımı son derece kolaydır Diğer bir ölçüye dönüştürmek için istediğiniz miktarı (Santimetre Küp olarak ifade edilir) yazmanız yeterlidir



Convert To Cubic Centimeters 1 3 M3 Underline Cm Gauthmath



Convert 44 3 M3 To Liters Note That 1 Ml 1 Cm3 Chegg Com
Vul in het lege invoerveld het aantal kubieke meter/kubieke centimeter dat je wilt omrekenen en kies vervolgens wat je wilt uitrekenen Als je dat eenmaal gedaan hebt, druk dan op de knop 'bereken nu' lees meerSo 1 gram per cubic centimeter = 1 tonne per cubic meter, g/cm^3 to t/m^3 conversion, cubic cubic metremeter to cubic cubic metre, g/cm³ to t/m³Converting centimeters to meters is a straightforward exercise



1



1 1 526 Cm3 2 3 455 Cm3 M3 3 5 M3 Cm3 4 4 2 Gauthmath
Assuming Y is the answer, and by crisscross principle;M3 naar cm3 berekenen Met deze rekentool kun je heel simpel kubieke meter (m³) naar kubieke centimeter (cm³) of andersom omrekenen!1 Cm3 To M3 How to Convert cm3 to m3 Cubic Centimeters to Cubic Meters Learning by Questions Matematikkens Verden Omgjøring av måleenheter (mm3, cm3 Conversion of cm3 to m3 > CalculatePlus Why is a density of 1 g/cm³ the same as a density of 1000 kg



Question 1 Of 5 Convert 64 0 M3 To Liters Note Chegg Com



How To Convert Convert Cm3 To Liters
Santimetre Küp cm3 Dönüştürücü nasıl çalışır?1 cm3 to m3 1 Cubic Centimeter = Cubic Meter What is a Cubic Centimeter?1 ml (milliliter) 01 cl (centiliter) 001 dl (deciliter) 0001 l (liter) dal (dekaliter) 10E5 hl (hectoliter) 1000 mm3 (cubicmillimeter) 1 cm3 (cubiccentimeter) 0001 dm3 (cubicdecimeter) 10E6 m3 (cubicmeter) 0 km3 (cubickilometer) in3, cu in (cubicinch) E5 ft3, cu ft (cubicfoot) E6 yd3 (cubicyard)



1 Cm3 M3 1 O 10 2 O 10 6 O 103 Chegg Com



Calculating Volume And Area Cubed And Squared Metric Conversions Ppt Download
1 cm3 = 10E6 m3 You also can convert 1 Cubic centimeters to other space units →Or change cm 3 to mm 3Convert cm 3 to mm 3 Conversion resultCm3 to m3 is a cubic centimeter to cubic meter converter It helps you to convert units from cm3 to m3 or vice versa & find how many cubic centimeters in a cubic meter



I Write Cm3 Or M3 1 Classroom 2 Pencil 3 Win Gauthmath



1 2 Revision Guide Calculations
It is equal to 1 cubic decimeter (dm3), 1,000 cubic centimeters (cm3) or 1/1,000 cubic meter The mass of one liter liquid water is almost exactly one kilogram A liter is defined as a special name for a cubic decimeter or 10 centimeters × 10 centimeters × 10 centimeters, thus, 1 L ≡ 1 dm3 ≡ 1000 cm3 Definition of Cubic CentimeterDette verktøyet er svært enkelt å bruke Du trenger bare å skrive tallene du vil regne om (uttrykt i Kubikkcentimeter) og klikk "Regn om" for å få 1 mL = 0, m³ = 10⁻⁶ m³ dan 1 mL = 1 cm³ Liter adalah satuan dari volume 1 liter sama dengan 1 dm³ Berikut tangga dari satuan volume dalam liter dan dm³ Tangga satuan volume dalam liter kL hL daL L dL cL mL tiap turun 1 tangga ⇒ dikali 10



Unit Conversion Reminder 1 Ml 1 Cm3 1 10 6 M3 Chegg Com



Convertir De Cm3 A M3 Video Dailymotion
Conversion cubic centimeters to cubic milimeters, cm 3 to mm 3 The conversion factor is 1000;Para convertir Centimeters Cubed (cm3) Meters Cubed (m3), usted sólo necesita saber que de 1cm 3 es igual a 0 m 3 Con ese conocimiento, puede resolver cualquier otro problema de la conversión multiplicando el número de Centimeters Cubed (cm3) por 0 Por ejemplo, 3 cm 3 multiplicado por 0 es igual a 0 m 3G/cm3 to t/m3 conversion Conversion grams per cubic centimeter to tonnes per cubic meter, g/cm3 to t/m3 The conversion factor is 1;



Activity Convert The Following Numbers Us 1 440 Gauthmath



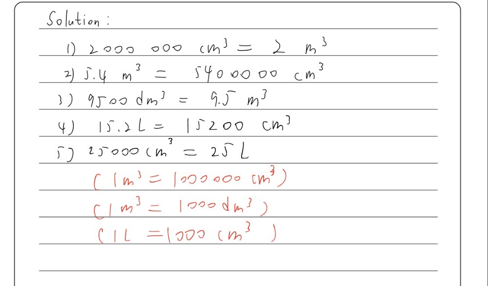
Use The Fact That 1 M3 Equals 1 000 000 Cm3 To Make Chegg Com
1g/ cm³等于10³kg/ m³。 g/ cm3和kg/ m3都是密度单位。它们之间的换算: 1g/cm³=1×10³kg/10^6m³ =1××10³×10^6kg/m³ =10³kg/ When converting cm3 to m3, remember each cube extends in three directions The 100 cm per meter becomes 1 million cubic centimeters per cubic meter!Conversión volumen gratis en línea Convertir cm3 en m3 (centímetro cúbico en metro cúbico) Cuánto es cm3 en m3?



Why Is A Density Of 1 G Cm The Same As A Density Of 1000 Kg M Quora



Conversion Of Metric Units Cubic Meters To Cubic Centimeters Youtube
Cubic centimeter (centimetre) is a metric system volume unit 1 cm3 = m3 The symbol is cm³ Please visit all volume units conversion to convert all volume units Convert volume unitsEasily convert cubic centimeter to cubic meter, convert cm3 to m3 このとき、1m=100cmの各々を3乗したものが、m3とcm3(立方センチメートル)となるために、 1m3=cm3 という関係式が成立するのです。 逆に、立方センチメートル基準で考えれば、 1cm3=m3 という変換式が成り立ちます。Kubikkmeter er i Kubikkcentimeter omregnere Regn enkelt om Kubikkcentimeter (cm3) til (m3) med dette enkle nettbaserte verktøyet Hvordan fungerer omregneren fra Kubikkcentimeter til ?



Activity Convert The Following Numbers Using 1 4 Gauthmath



How To Convert Cm3 To M3 Cubic Centimeters To Cubic Meters Conversion Examples
The answer is 10E6 We assume you are converting between gram/cubic centimetre and gram/cubic metre You can view more details on each measurement unit g/ (cm^3) or g/ (m^3) The SI derived unit for density is the kilogram/cubic meter 1 kilogram/cubic meter is equal to 0001 g/ (cm^3), or 1000 g/ (m^3) Note that rounding errors may occurPor exemplo, o volume de um tubo, sala ou vaso Criamos esta calculadora online para facilitar sua vida Você pode converter m3 em cm3 em um clique É totalmente grátis!What is a Cubic Centimeter?



Convert The Following 25 55 Mph M S 26 162 56 Cm Chegg Com



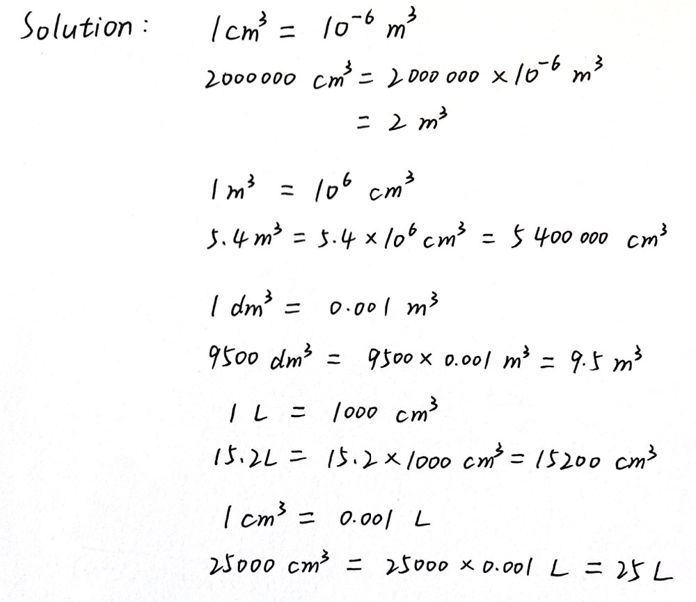
5 000 000 Cm3 M3 5 000 000 1 000 000 5 Cubic Gauthmath
About Press Copyright Contact us Creators Advertise Developers Terms Privacy Policy & Safety How works Test new features Press Copyright Contact us Creators



Cm3 M3 Converter Sirpizzaky Com



Convert Liters To Cubic Meters 1 L Is 1000 Cm Cube Measurements Youtube



Edexcel Igcse Certificate In Physics 5 1 Density And Pressure Ppt Download



Introduction Chapter 1 Copyright C The Mcgraw Hill Companies Inc Permission Required For Reproduction Or Display Ppt Download



Http Www Jaconline Com Au Mathsquestvic Mq Vic First Ed Measurement Area Skillbuilders Ms Convert Units Volume Pdf



Measurements Chemistry



B Convert The Cubic Centimeter To Cubic Meter Cubic Centimeter Cubic Meter Example 350 Cm Brainly Ph



Question 1 1 5 Points Convert 10 Cm3 To M3 O 1x Chegg Com



Convert The Following Units Of Measure 1 1 Cm3 Gauthmath



Cubic Centimetre Wikipedia



1



Conversion Of 1 Cm3 To M3 Calculateplus



Volume And Capacity By Teacher Angelo Ppt Download



5 000 000 Cm3 M3 5 000 000 1 000 000 5 Cubic Gauthmath



1 2 Revision Guide Calculations



2



Online Calculator Cm3 To M3 Fast And Free Converter



How To Convert Convert Cm3 To Liters



Unit Of Measure Rectangular Prism C Mm3 Cm3 M3 Km Gauthmath



Similarity And Congruence Convert Volume Units M3 To Cm3 Grade 4 Onmaths Gcse Maths Revision Youtube



Activity Convert The Following Numbers Us 1 440 Gauthmath



Which Of The Following Correctly Shows How To Convert Chegg Com



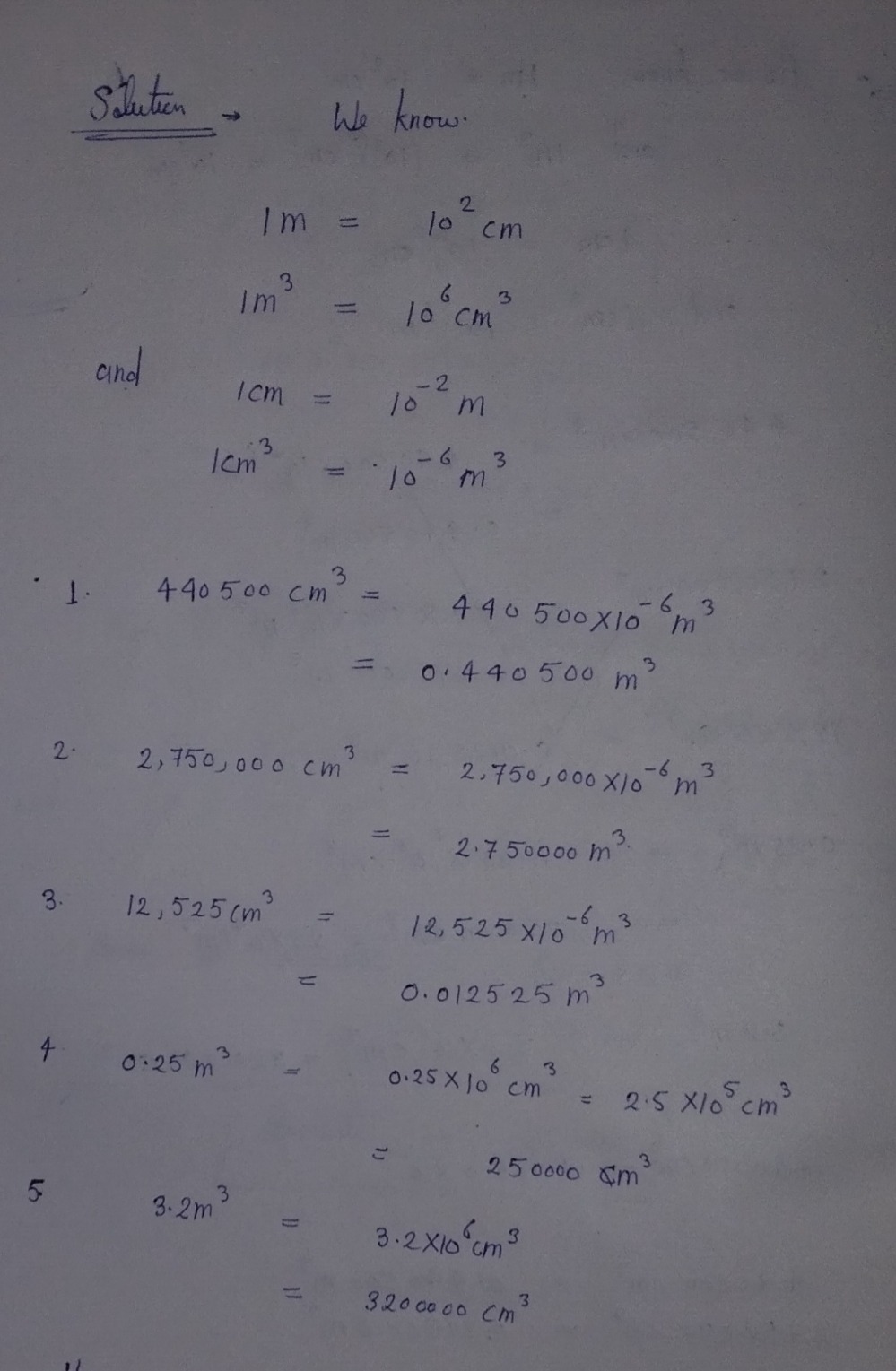
Convert To Cubic Meters 1 1 600 000 Cm3 M3 2 Gauthmath



Drag Each Label To The Correct Location In The Equation Not All Tiles Will Be Used The Density Of Brainly Com



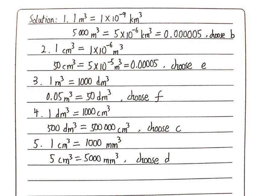
1 7cm3 Mm3 2 5 000 Dm3 M3 3 5 M3 Cm3 4 0 Gauthmath



How Do We Convert Dm To Cm Quora



Use The Table Along With Dimensional Analysis To Chegg Com



3 M3 In Cm3



11 Which Cubic Unit Of Measure Is Appropriate T Gauthmath



How To Convert Cm3 To M3 Cubic Centimeters To Cubic Meters Conversion Examples



Cm3 M3 Converter Sirpizzaky Com



Convert To Cubic Meters 1 1 600 000 Cm3 M3 2 Gauthmath



5 32 Dm Cm M3 Checking Your Understanding M2 Gauthmath



Ks3 Mathematics S7 Measures Ppt Download



Convert Liters To Cubic Meters 1 L Is 1000 Cm Cube Measurements Youtube



The Volume Of A Sample Of Gas Is Measured As 4285 9 Chegg Com



How To Convert Centimeter Cube To Cubic Meter And Liter To Meter Cube Youtube



Conversion Mtap



G Cm3 A Kg M3 Densidad Youtube



Pin On Density Relative Density



C Convert Each Cubic Meter To Cubic Centimeter An Gauthmath



Activity Convert The Following Numbers Using 1 4 Gauthmath



B Convert Cubic Cm To Cubic M And Vice Versa 1 5 Cm3 M32 60 M3 Cm33 23 000 000 Brainly Ph



Which Of The Following Is Equal To Exactly 1 Cubic Chegg Com



How To Convert Cubic Centimeters To Cubic Meters Cm 3 To M 3 Volume Youtube



How To Convert Cm3 To M3 Cubic Centimeters To Cubic Meters Conversion Examples



1 Copper Has A Density Of 9 0 G Cm3 If A Spool Of Chegg Com



Iv Convert The Following Cubic Units As Indicated Gauthmath



A 1 5 000 M3 Km3 A 500 2 50 Cm3 M3 B 0 000 Gauthmath



Explain How To Convert M3 To Cm3 Study Com



Answered Given That 1 Cm 102 M 3 A 1 Cm 1 Bartleby



1cm3 To How Many Meters Brainly In



Unit Conversion Reminder 1 Ml 1 Cm3 1 10 6 M3 Chegg Com



Cm3 M3 Converter Sirpizzaky Com



1



Volume Conversions 1 Ml Has The Volume Of A Cube Chegg Com



I 1 Cm3 A Mm3 I 1 M3 B Cm3 Ii 1 Km3 C M3 Snapsolve



Convert Cm3 To M3 Youtube



Convert 7 6 Cm3 To M3 H Rectangular Snip Starting Chegg Com



2



Chapter 1 Review



Convert Liters To Cubic Meters 1 L Is 1000 Cm Cube Measurements Youtube



Use The Fact That 1 M3 Equals 1 000 000 Cm3 To Make Chegg Com



Q Tbn And9gcqcmouq1f6b Ca51qzr3v2phcfoydetxi Ylczfzhw9bcjoelar Usqp Cau



Conversion From Litre To Cubic Metre L To M3 L To Cm3 Density Conversion Physics Youtube



Conversion Of 1 Cm3 M3 To Cm2 Dam2 Calculateplus



One Hundred Years I Ve Acknowledged Degree Celsius Convertor Mm3 To Cm3 Blackdoorfarmhouse Com



Nvert The Following Cubic Units As Indicate 1 2 Gauthmath



1000 M3 A Cm3



Welcome To Chemistry An Observational Science Ppt Video Online Download


0 件のコメント:
コメントを投稿